Voice of Environment (VoE) WhatsApp Channel

Voice of Environment (VoE)

850 subscribers

About Voice of Environment (VoE)

Welcome to Voice of Environment (VoE) 🌱🌳 An organization dedicated to the environment and people. A global platform for environmental education awareness, research, and discussion. Thank You With Regards Team Voice of Environment (VoE) Join and connect with us Website: www.voiceofenvironment.org Facebook-https://www.facebook.com/Voiceofenvironment Twitter-https://twitter.com/voiceofenviron Youtube-http://www.youtube.com/c/VoiceofEnvironment Linkedin-https://www.linkedin.com/in/voice-of-environment-voe-511821b7/ Instagram-https://instagram.com/voiceofenvironment_official?igshid=ZDdkNTZiNTM= FB Group: https://www.facebook.com/groups/voeofficialgroup/?ref=share 🇮🇳🌳

Similar Channels

Swipe to see more

Posts

Voice of Environment (VoE)
Voice of Environment (VoE)
6/14/2025, 4:41:31 PM

Call for Applications: District Coordinator InternshipRace2IAS, an initiative of Race2Excellence Pvt. Ltd., invites applications from committed and capable young individuals for the position of District Coordinator (Intern). This shortterm engagement aims to strengthen our outreach and coordination efforts across districts in support of civil service preparatory initiatives for school students.Internship Overview• Position: District Coordinator (Intern)• Duration: 2 Months (June 20, 2025 – August 20, 2025)• Engagement: 2–3 hours per day (flexible, Mostly Online)• Location: Assigned district (within your state)Key Responsibilities• Conduct structured outreach to schools within the assigned district.• Liaise with school Principals and administrators to facilitate program implementation.• Collect and compile required project data in coordination with the Race2IAS team.• Oversee and report on the conduct of the Model Civil Service Examination for school students in designated schools.Eligibility Criteria• Current students or recent graduates from any recognized institution.• Proficiency (verbal and written) in English and the regional language of the assigned district.• Strong communication, coordination, and reporting skills.• Availability of 2–3 hours daily during the internship period.• Preference will be given to individuals preparing for or aspiring to join the civil services.Benefits• Certificate of Internship upon satisfactory completion.• Letter of Recommendation based on performance (issued by members of the advisory board, including senior civil servants).• Stipend of ₹5,000 for candidates who complete assigned responsibilities in a timely and professional manner.• Access to mentorship and academic resources relevant to civil service preparation (performance-based).Application ProcessInterested candidates may apply by filling out the form at the following link:ApplyDeadline: Applications will be reviewed on a rolling basis. Early submissions are encouraged.ContactFor queries, please write to: [email protected]

Voice of Environment (VoE)
Voice of Environment (VoE)
6/14/2025, 10:23:20 AM

https://www.linkedin.com/posts/job-shob_were-hiring-project-coordinator-full-time-activity-7339561218912788481-RwfX?utm_source=social_share_send&utm_medium=android_app&rcm=ACoAADm8y4MBhh-kGkYbJ70V7Ckk6YT5Zt5Cp4A&utm_campaign=whatsapp

Voice of Environment (VoE)
Voice of Environment (VoE)
6/15/2025, 8:37:15 AM
Post image
Image
Voice of Environment (VoE)
Voice of Environment (VoE)
6/14/2025, 4:42:49 PM

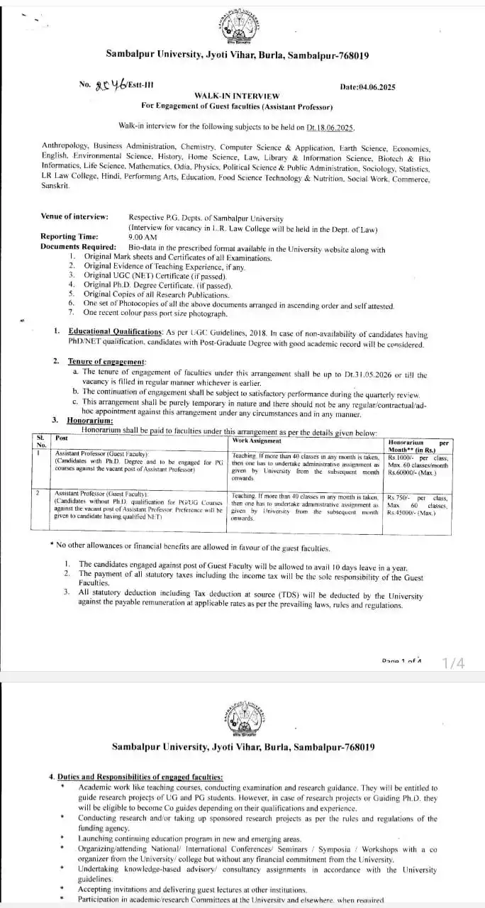
SRIMANTA SANKARDEV CHAIR PANJAB UNIVERSITY, CHANDIGARH- 160014 (INDIA)ADVERTISEMENT FOR THE POST OF RESEARCH FELLOW Applications along with proposal are invited from suitable candidates for one vacant post of Research Fellow under the project entitled “Srimanta Sankardev”. Essential Qualification: (a) 55% marks in Post Graduate degree in any discipline from a recognized University/Institute. (b) Not in receipt of any scholarship or grant from any govt./state/private sector Last Date: 11th July, 2025, Department of Sanskrit, Arts block-I, Panjab University, Chandigarh. Age: Not more than 35 years as on closing date of advertisement. Proposal having 1800- 2000 words typed, detailed concept with chapterization, contain brief bibliography and Methodology. Fellowship: Monthly emoluments of fellowship Rs.25000/- as per norms. The initial offer will be for a period of one year and can be extended subject to satisfactory performance. The position is temporary and coterminous with the project. Selection process: Eligible and shortlisted candidates will be called for interview well in time after scrutiny. Applications along with Curriculum Vitae may be submitted to the office of the Deptt. of Sanskrit by email or sent by post latest by 11th July, 2025. The date and time of the interview will be informed to the shortlisted candidates by email. No separate interview letters will be issued. Affidavit : Shortlisted candidates will have to submit an Affidavit of Rs.10/- regarding not claiming any fellowship/grant/ scholarship/ financial assistance from any University/Board/state/Corporation etc. duly attested by District Magistrate/ Additional District Magistrate/ Collector / Deputy Commissioner/ Additional Deputy Commissioner/ Deputy Collector/ Sub-Divisional Magistrate/ Taluka Magistrate/ Executive Magistrate/ Extra Assistant Commissioner. NOTE: No TA/DA shall be paid for attending the interview. Prof. Supreet Kaur Coordinator Srimanta Sankardev Chair Panjab University, Chandigarh-160014 E-mail: [email protected]

Post image
Image
Voice of Environment (VoE)
Voice of Environment (VoE)
6/14/2025, 7:21:42 AM

https://opportunitiesforyouth.org/2025/06/09/french-institutes-for-advanced-study-fias-fellowship-2026-fully-funded-opportunity-for-researchers/

Voice of Environment (VoE)
Voice of Environment (VoE)
6/15/2025, 8:37:06 AM

Job Position

Post image
Image
Voice of Environment (VoE)
Voice of Environment (VoE)
6/15/2025, 9:57:14 AM

Job opportunity with a handsome salary : https://www.linkedin.com/jobs/view/4246024021

Voice of Environment (VoE)
Voice of Environment (VoE)
6/15/2025, 8:37:16 AM
Post image
Image
Voice of Environment (VoE)
Voice of Environment (VoE)
6/14/2025, 7:43:06 AM

Hiring Alert Akam Foundation is hiring now 📌 Dibrugarh Role: Program Manager Apply now to be part of a young team to contribute to social justice work in Assam. Apply By: 20th June, 2025 Send your CV & Cover Letter to [email protected]

Voice of Environment (VoE)
Voice of Environment (VoE)
6/14/2025, 5:21:47 AM

*Sewa Fellowship 2025–27* https://sewainternational.org/Fellowship ▪️ *Perks*: ₹20,000/month + ₹1.75L grant, accommodation & food support ▪️ *Eligibility*: Ages 21–30 with community experience ▪️ *Duration*: 2 years with mentorship & field support

Post image
Image
Link copied to clipboard!